日本邮政最新价格表概览:该价格表详细列出了日本邮政的各项服务费用。涵盖了寄送信件、包裹以及特快专递等各项服务,反映了最新的收费标准。对于需要了解日本邮政服务费用的人群来说,这份价格表提供了重要的参考信息。摘要字数在100-200字之间。
随着时代的变迁和物流行业的飞速发展,日本邮政持续领先国内及国际邮政服务领域,为了满足广大用户的需求并带来更为优质、便捷的服务体验,日本邮政对部分服务进行了价格调整,本文将重点解读日本邮政最新价格表中的三大要点,帮助您更好地了解这些变化。
价格调整概述
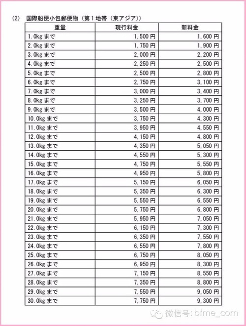
日本邮政此次的价格调整涵盖了多个方面,包括信件寄送、包裹快递、EMS国际快递等服务,根据最新的价格表,大部分服务的价格都有所调整,尽管价格有所上涨,但日本邮政也增加了一系列新的服务项目,以回应市场的多样需求。
对于信件寄送服务,日本邮政根据信件重量和寄送距离进行了价格微调,尽管价格有所上升,但其可靠性和广泛的覆盖面仍然使其成为国内外信件寄送的热门选择。
在包裹快递和EMS国际快递方面,价格调整反映了物流成本和运输效率的变化,日本邮政在保持高效运输的同时,也注重环保和可持续发展,在部分服务中,可以看到对绿色物流的投入。
新服务项目介绍
随着电子商务的蓬勃发展和海外购物的普及,日本邮政在新价格表中增加了一系列新服务项目,以满足用户的多样化需求。
1、网购包裹优惠服务:为网购用户提供更优惠的包裹寄送服务,无论购买的是日本本土商品还是海外商品,用户都能享受到更优质的服务。
2、追踪查询服务:为确保用户的权益,日本邮政提供了更完善的包裹追踪查询服务,用户可通过邮件号码随时查询包裹的位置和运输状态,确保包裹安全准时到达。
3、绿色物流项目:日本邮政注重环保和可持续发展,因此在部分服务中融入了绿色物流理念,对于使用环保包装材料的包裹,日本邮政将提供相应的优惠。
价格与服务的优化平衡
日本邮政此次的价格调整和新服务项目的推出,旨在实现价格与服务的优化平衡,价格调整充分考虑了物流成本的变化和运输效率的提高,以确保价格的合理性和公平性。
日本邮政致力于提升服务质量和用户体验,通过追踪查询服务,用户能随时了解包裹状态,提高满意度和信任度,日本邮政还积极推进绿色物流项目,采用环保包装材料和优化运输方式,以降低对环境的影响。
日本邮政最新价格表中的变化旨在为用户提供更优质、更便捷的服务体验,在未来,随着物流行业的不断发展和用户需求的变化,日本邮政将继续调整价格和服务项目,以实现更好的价格与服务优化平衡,我们期待日本邮政能带来更多惊喜和便利,为广大用户带来更好的邮政服务体验。



还没有评论,来说两句吧...